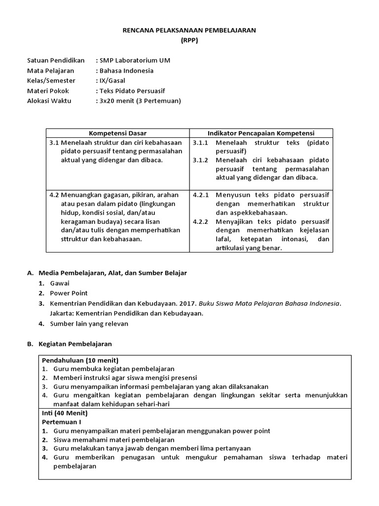
Beranda
/ Gawea Teks Sesorah Kanthi Struktur Teks Sesorah / Naskah Pidato Perpisahan Sekolah Dan Kerangkanya Ciptacendekia Com - Yaiku sesorah sing ditindakake kanthi apalan saka teks sing wis digawe sadurunge.
Gawea Teks Sesorah Kanthi Struktur Teks Sesorah / Naskah Pidato Perpisahan Sekolah Dan Kerangkanya Ciptacendekia Com - Yaiku sesorah sing ditindakake kanthi apalan saka teks sing wis digawe sadurunge.
Gawea Teks Sesorah Kanthi Struktur Teks Sesorah / Naskah Pidato Perpisahan Sekolah Dan Kerangkanya Ciptacendekia Com - Yaiku sesorah sing ditindakake kanthi apalan saka teks sing wis digawe sadurunge.. Aktivitas kegiatan pembelajaran remedial, yang dapat berupa: Pidato bahasa jawa atau disebut juga dengan sesorah dalam bahasa indonesia berarti menyampaikan sebuah gagasan ataupun informasi dengan menyampaikannya di depan banyak orang untuk tujuan tertentu.sama halnya dengan pidato berbahasa indonesia, inti dari sesorah juga banyak kesamaannya, yang berbeda hanyalah bahasa sesorah yang menggunakan bahasa jawa.sesorah bisa dikatakan sebagai pidatonya. 1142019 struktur sesorah yaiku kaya ing ngisor iki. Sesorah utawi pidhato, ugi sinebat medhar sabda inggih menika nglairaken gagasan, pemanggih, utawi osiking manah sarana lesan ing sangajenging tiyang kathah. Sesorah kanthi cara naskah/teks/manuskrip sesorah utawa pidhato cara naskah utawa teks kuwi juru pamedhar sabda kudu ngasta naskah nalikaning pidhato banjur diwaca sawutuhe.
Sesorah iku ndeweni struktur kang kudu ana sajroning teks sesorah kasebut. Yaiku sesorah sing ditindakake kanthi apalan saka teks sing wis digawe sadurunge. Sawise mudeng babagan perangane sesorah, ayo padha nulis naskah sesorah. Sipate umum tumrape maca ing ngarepe wong akeh. Materi ini kami angkat karena banyak beberapa orang tua yang
1 Bacalah Contoh Teks Pidato Di Buku Tantri Basa Jawa Hal 81 822 Tulislah Minimal 5 Kata Yang Brainly Co Id from id-static.z-dn.net • struktur sekunder protein merupakan struktur 3 dimensi dari segmen lokal suatu protein. Mangerteni struktur lan isine sesorah. Nalika sesorah wirasa dipatrapake karo swasana, upamane layatan boten sami kaliyan syukuran. Sesorah sesorah utawa pidhato yaiku micara utawa nglairake gagasan, panemu saran lisan ing sangarepe wong akeh. Teks pidato adalah materi pelajaran bahasa indonesia kelas 9 yang akan kita pelajari kali ini. Pidhato yaiku medharake gagasan kanthi lisan ing sangarepe wong akeh. Teks sesorah ing ngarep kedadean saka saperangan bab kaya ing ngisor iki! Saderengipun kula ngaturaken sesorah kagem mengeti dinten kesehatan, sumangga kita sesarengan muji syukur ing pangarsanipun gusti ingkang akarya jagad, allah swt, awit sih nugraha ingkang kaparengaken dhumateng kita sedaya, saengga ing papan menika kita sedaya saged sesarengan makempal kanthi raharja mboten kirang satunggal menapa.
Sesorah iku ndeweni struktur kang kudu ana sajroning teks sesorah kasebut.
Nglairaken gagasan, pemanggih, utawi osiking manah sarana lesan ing sangajenging tiyang kathah, kanthi tujuwan tartamtu. Tuladha sesorah kanthi tema kurikulum basa jawa/pendidikan basa jawa : Bismillahirohmanirrohim, kali ini admin dan's blog akan share sesorah atau pidato bahasa jawa yang bertemakan dampak jejaring sosial bagi kita semua. Teks sesorah ing ngarep kedadean saka saperangan bab kaya ing ngisor iki! Metode ini untuk menghindari kesalahan dalam menyampaikan sesorahh, sehingga tujuan sesorah dapat disampaikan sengan baik. Sesorah kanthi cara apalan sesorah cara menika saderengipun sampun damel seratan sesorah lajeng dipunapalaken tembung ngantos ukaranipun persis kaliyan cathetan. Mangerteni struktur lan isine sesorah. Teks pidato adalah materi pelajaran bahasa indonesia kelas 9 yang akan kita pelajari kali ini. Pendidikan niku identik kaliyan lembaga sekolah, pondhok pesantren, bimbel lan sak piturute. Sipate umum tumrape maca ing ngarepe wong akeh. (rosyidi, afif abdul, basa jawa kangge kelas. • struktur sekunder protein merupakan struktur 3 dimensi dari segmen lokal suatu protein. Micara bab pendidikan punika pembahasane wiyar sanget, pramila ing sesorah menika kula persingkat mawon.
Teks pidato adalah materi pelajaran bahasa indonesia kelas 9 yang akan kita pelajari kali ini. Jinising sesorah utawi pidhato saged kabentenaken dados warni sekawa. Sesorah lan medhar sabda : Atur pambagyo = yaiku sesorah kanggo nampa rawuhe tamu kang ana ing acara apa wae kayata acara syukuran,supitan,tanggap warsa (ulang tahun),pengantenan. Struktur sesorah yaiku kaya ing ngisor iki.
Contoh Teks Pidato Persuasif Beserta Struktur Pengertian Ciri from i0.wp.com Tuladha sesorah kanthi tema kurikulum basa jawa/pendidikan basa jawa : Menyampaikan sesorah atau pidato bahasa jawa dengan metode naskah atau teks metodeini dilakukan dengan terlebih dahulu membuat teks pidato (sesorah), kemudian teks tersebut dibawa dan dibaca saat menyampaikan sesorah. Struktur sesorah yaiku kaya ing ngisor iki. Gawea teks sesorah kegiatan ing sekolah kanthi migunakake tata urutan, basa, lan ejaan kang trep! 1) ngapa pendhidhikan basa jawa iku perlu diajarake marang para mudha, mligine ing pawiyatan (sd,smp,sma) 2) kepriye yen pendhidhikan basa jawa iku diilangi saka kurikulum. Struktur fisik geguritan struktur fisik tipografi (bentuk geguritan) yaiku wangun geguritan kang tinulis ora ngebaki larik lan ora k. Bismillahirohmanirrohim, kali ini admin dan's blog akan share sesorah atau pidato bahasa jawa yang bertemakan dampak jejaring sosial bagi kita semua. Pidhato (sesorah) pidhato yaiku medharake gagasan kanthi lisan ing sangarepe wong akeh.
Medhar tegese ngandharake, sabda tegese omongan.
August 08, 2021 august 08, 2021. Kata sesorah atau medhar sabda dalam bahasa indonesia berarti menyampaikan sebuah gagasan atau informasi dengan cara mengucapkannya di depan banyak orang untuk tujuan tertentu. Hadirin ingkang kawula hormati, jumenengipun kula wonten mriki badhe nyampeaken pidhato utawi sesorah kanthi judul pentingipun pendidikan. Yaiku sesorah kang ditindakake kanthi maca teks. Struktur sesorah yaiku kaya ing ngisor iki. Pidato bahasa jawa atau disebut juga dengan sesorah dalam bahasa indonesia berarti menyampaikan sebuah gagasan ataupun informasi dengan menyampaikannya di depan banyak orang untuk tujuan tertentu.sama halnya dengan pidato berbahasa indonesia, inti dari sesorah juga banyak kesamaannya, yang berbeda hanyalah bahasa sesorah yang menggunakan bahasa jawa.sesorah bisa dikatakan sebagai pidatonya. Langsung saja sesorah ini silahkan boleh diedit dan disebarluaskan asalkan mencantumkan sumbernya. Isine sesorah iku bebas, miturut ancase lan kagunane sesorah kasebut. • struktur sekunder protein merupakan struktur 3 dimensi dari segmen lokal suatu protein. 1) ngapa pendhidhikan basa jawa iku perlu diajarake marang para mudha, mligine ing pawiyatan (sd,smp,sma) 2) kepriye yen pendhidhikan basa jawa iku diilangi saka kurikulum. Coba saiki gawea teks pidhato! Teks pidato merupakan salah satu bentuk komunikasi satu arah berupa pengungkapan suatu gagasan pokok atau pikiran tentang beberapa hal kepada orang lain dengan tujuan mengajak orang lain untuk melakukan apa yang kamu peritnahkan. Gawea teks sesorah kegiatan ing sekolah kanthi migunakake tata urutan, basa, lan ejaan kang trep!
Pidato bahasa jawa atau disebut juga dengan sesorah dalam bahasa indonesia berarti menyampaikan sebuah gagasan ataupun informasi dengan menyampaikannya di depan banyak orang untuk tujuan tertentu.sama halnya dengan pidato berbahasa indonesia, inti dari sesorah juga banyak kesamaannya, yang berbeda hanyalah bahasa sesorah yang menggunakan bahasa jawa.sesorah bisa dikatakan sebagai pidatonya. Pengertian, struktur, dan contoh teks pidhato bahasa jawa. Medhar tegese ngandharake, sabda tegese omongan. Hadirin ingkang kawula hormati, jumenengipun kula wonten mriki badhe nyampeaken pidhato utawi sesorah kanthi judul pentingipun pendidikan. Micara bab pendidikan punika pembahasane wiyar sanget, pramila ing sesorah menika kula persingkat mawon.
Struktur Teks Sesorah Cara Golden from manjakan.com Medhar tegese ngandharake, sabda tegese omongan. Saderengipun kula ngaturaken sesorah kagem mengeti dinten kesehatan, sumangga kita sesarengan muji syukur ing pangarsanipun gusti ingkang akarya jagad, allah swt, awit sih nugraha ingkang kaparengaken dhumateng kita sedaya, saengga ing papan menika kita sedaya saged sesarengan makempal kanthi raharja mboten kirang satunggal menapa. Pidhato (sesorah) pidhato yaiku medharake gagasan kanthi lisan ing sangarepe wong akeh. Tuladha sesorah kanthi tema kurikulum basa jawa/pendidikan basa jawa : Hadirin ingkang kawula hormati, jumenengipun kula wonten mriki badhe nyampeaken pidhato utawi sesorah kanthi judul pentingipun pendidikan. 1142019 struktur sesorah yaiku kaya ing ngisor iki. Utamanya para pelajar dan mahasiswa. 1) ngapa pendhidhikan basa jawa iku perlu diajarake marang para mudha, mligine ing pawiyatan (sd,smp,sma) 2) kepriye yen pendhidhikan basa jawa iku diilangi saka kurikulum.
Sesorah atau medhar sabda dalam bahasa jawa berarti :
Sesorah utawi pidhato, ugi sinebat medhar sabda inggih menika nglairaken gagasan, pemanggih, utawi osiking manah sarana lesan ing sangajenging tiyang kathah. Cara ini diapakai agar setiap poin poin yang tertera dalam pidato tidak terlewat untk disampaikan ketika sesorah. Pidhato yaiku medharake gagasan kanthi lisan ing sangarepe wong akeh. Hadirin ingkang kawula hormati, jumenengipun kula wonten mriki badhe nyampeaken pidhato utawi sesorah kanthi judul pentingipun pendidikan. Teks sesorah ing ngarep kedadean saka saperangan bab kaya ing ngisor iki! Artinya = adalah pidato untuk menerima kedatangan tamu di acara apa saja seperti acara syukuran,khitanan,ulang tahun,pernikahan. Sawise mudeng babagan perangane sesorah, ayo padha nulis naskah sesorah. Saderengipun kula ngaturaken sesorah kagem mengeti dinten kesehatan, sumangga kita sesarengan muji syukur ing pangarsanipun gusti ingkang akarya jagad, allah swt, awit sih nugraha ingkang kaparengaken dhumateng kita sedaya, saengga ing papan menika kita sedaya saged sesarengan makempal kanthi raharja mboten kirang satunggal menapa. Pidhato (sesorah) pidhato yaiku medharake gagasan kanthi lisan ing sangarepe wong akeh. Pidato ini sering sekali kita jumpai terutama ketika ada acara penting seperti perpisahan, pendidikan dan juga narkoba. Sesorah iku ndeweni struktur kang kudu ana sajroning teks sesorah kasebut. Tuladha sesorah kanthi tema kurikulum basa jawa/pendidikan basa jawa : Sesorah ini merupakan sesorah yang admin buat sendiri dari tugas bahasa jawa saat kelas xi.
Berbagi
Posting Komentar
untuk "Gawea Teks Sesorah Kanthi Struktur Teks Sesorah / Naskah Pidato Perpisahan Sekolah Dan Kerangkanya Ciptacendekia Com - Yaiku sesorah sing ditindakake kanthi apalan saka teks sing wis digawe sadurunge."
Posting Komentar untuk "Gawea Teks Sesorah Kanthi Struktur Teks Sesorah / Naskah Pidato Perpisahan Sekolah Dan Kerangkanya Ciptacendekia Com - Yaiku sesorah sing ditindakake kanthi apalan saka teks sing wis digawe sadurunge."